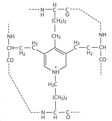
Desmosin


       

Desmosin, 3D-Struktur

(sollte innerhalb von einigen Sekunden laden)